ANASAYFA
FACEBOOK
TWITTER
BİZE ULAŞIN
E-BELEDİYE
0 352 442 12 25
ANASAYFA
BELEDİYE
Meclis Kararları
Başkanın Özgeçmişi
Başkan'ın Mesajı
Başkan'a Mesaj
Yönetim
Faaliyet Raporları
İhale İlanları
Vizyonumuz ve Misyonumuz
Belediye Meclis Üyeleri
Encümen Üyeleri
Muhtarlar
Kurum Logosu
PROJELER
Biten Projeler
Devam Eden Projeler
Planlanan Projeler
Kaymakamlık Belediye Ortak Projeler
HİZMETLER
Müdürlükler
Emlak Beyanı(Arsa, Bina) Bildirimi
ONLINE İŞLEMLER
İmar ve Şehircilik Müdürlüğü Gerekli Evraklar
Hacılar Belediye Gazetesi
Önemli Telefonlar
Kayseri İli Önemli Telefon Numaraları
Kvkk
ONLINE
E-Belediye
Bilgi Edinme
Öneri ve Şikayetler
Başkan'a Mesaj
Ziyaretçi Defteri
İletişim Formu
GÜNCEL
Güncel Haberler
Duyurular
Videolar
Medya
Taziyeler
MULTIMEDYA
Foto Galeri
Videolar
ŞEHİR
Ekonomi ve Sanayi
Ulaşım ve Alt Yapı
Tarihi ve Coğrafi Bilgiler
Spor Faaliyetleri
Sosyal Yapı
Eğitim ve Kültür
İLETİŞİM
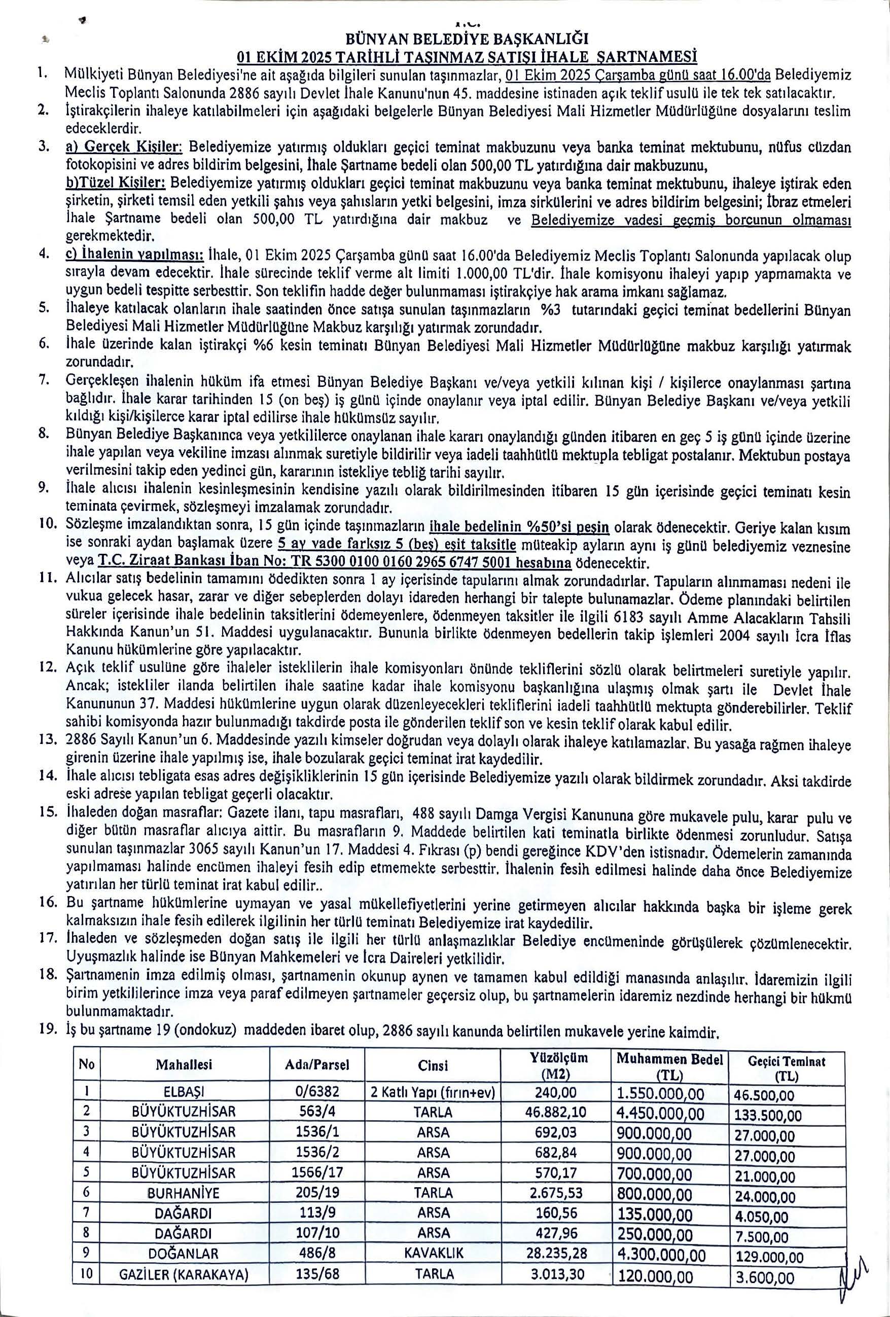
BÜNYAN BELEDİYESİ TAŞINMAZ SATIŞ İHALESİ DUYURUSU 1.10.2025
GÜNCEL
Güncel Haberler
Duyurular
Videolar
Foto Galeri
Medyada Biz
Taziyeler